企業博客
更多>>采用塑料QFN封裝MEMS晶振的拆解表明
來源:http://www.jqhs.com.cn 作者:康比電子 2019年06月14
幾十年來,幾乎所有電子系統中的頻率參考應用都使用了石英晶振(XTAL)和振蕩器(XO),因為它們具有穩定性和卓越的電氣性能.但是,性能限制和可靠性問題仍然困擾著XO.
pMEMS諧振器
pMEMS諧振器由具有單晶硅(SCS)的壓電材料(AlN)組成,因此結合了壓電石英諧振器和硅MEMS晶振的優點.與典型的純硅電容諧振器不同,pMEMS諧振器不需要直流偏置電壓進行操作.
復合pMEMS諧振器改善了運動阻抗和線性功率處理,并保持了長期頻率穩定性(圖1).受益于壓電材料的強機電耦合和SCS的穩定性和低阻尼,pMEMS諧振器還抑制了運動阻力和提升質量因子.
當體聲波在諧振器主體中沿不同方向分散時,通過設計諧振器的厚度和寬度以使來自其他方向的損失最小化,可以使所需長度方向上的能量最大化.例如,典型的107-MHz諧振器圖顯示測得的Q值為7453,IL為-12.4dB(圖2).
圖3示出了具有WLP的550×450×200mm3諧振器的3D視圖.為了正確看待事物,將切塊的WLPpMEMS諧振器放在一粒米上(圖4).最終,pMEMS諧振器被引線鍵合到IC管芯以形成振蕩器(圖5).
pMEMS諧振器
pMEMS諧振器由具有單晶硅(SCS)的壓電材料(AlN)組成,因此結合了壓電石英諧振器和硅MEMS晶振的優點.與典型的純硅電容諧振器不同,pMEMS諧振器不需要直流偏置電壓進行操作.
復合pMEMS諧振器改善了運動阻抗和線性功率處理,并保持了長期頻率穩定性(圖1).受益于壓電材料的強機電耦合和SCS的穩定性和低阻尼,pMEMS諧振器還抑制了運動阻力和提升質量因子.
1.在pMEMS諧振器中,壓電層和電極堆疊在SCS層的頂部.
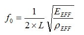
將電刺激施加到頂部電極之一激勵壓電層,其中橫向壓電系數e31在整個裝置中產生體聲波.然后諧振器橫向振動,并且機械運動通過壓電層轉換以由另一個頂部電極感測.器件的橫向長度L,組合諧振器本體EEFF的有效彈性常數和有效質量密度決定了基模的諧振頻率.


2.典型pMEMS諧振器的S21圖表示測得的Q值為7453,IL為-12.4dB.
pMEMS諧振器的制造涉及與晶圓級封裝(WLP)的CMOS有源晶振兼容工藝.首先,用壓電和電極材料沉積SOI晶片.在圖案化電極之后,通過圖案化壓電層和SCS疊層來限定諧振器本體.隨后,帽晶片結合到器件晶片,并且沉積焊盤金屬層以形成WLP器件的氣密密封.圖3示出了具有WLP的550×450×200mm3諧振器的3D視圖.為了正確看待事物,將切塊的WLPpMEMS諧振器放在一粒米上(圖4).最終,pMEMS諧振器被引線鍵合到IC管芯以形成振蕩器(圖5).

在這張照片中,將單個晶圓級封裝的pMEMS晶振放在一粒米上.

采用塑料QFN封裝的pMEMS振蕩器的拆解表明pMEMS諧振器通過引線鍵合到IC管芯.

采用塑料QFN封裝的pMEMS振蕩器的拆解表明pMEMS諧振器通過引線鍵合到IC管芯.
正在發揮作用的一個潛在的石英替代候選者是壓電轉換的pMEMS晶振,特別是對于高頻,低相位噪聲參考應用.根據IDT晶振,沖擊和振動測試以及長期穩定性測量證明,pMEMS振蕩器可以成為高頻定時參考應用中XO的可靠且經濟的替代品.
正在載入評論數據...
相關資訊
- [2020-07-11]華為多次被打壓,網絡通信設備晶...
- [2019-08-30]溫補晶振如何在額定溫度范圍之外...
- [2019-08-17]超低均方根抖動有源晶振時鐘解決...
- [2019-08-01]愛普生超小型32.768K音叉晶體單...
- [2019-07-19]瑞士微晶202684-MC03時鐘32.768...
- [2019-07-09]美國市場是目前ILSI晶振的重要主...
- [2019-07-05]村田汽車電子晶振提供高級駕駛輔...
- [2019-06-14]采用塑料QFN封裝MEMS晶振的拆解...






